Lösungen zu einigen Beispielen aus E.J. Lemmons Buch "Beginning Logic"

Verwandte Seiten

Im folgenden finden sich einige Beispiele mit großteils richtigen, wenn auch vielfach abgekürzten Lösungen. Die Numerierung hat nicht viel zu bedeuten.

Die Lösungen der Beispiele stammen teils aus meiner weißen Periode, teilweise von Teilnehmern meines Logik-Tutoriums; wer Beispiele mit oder ohne eigene Lösungen -nicht notwendigerweise nur aus Lemmons Buch- hier veröffentlicht zu sehen bereit ist, wird gebeten, sie mir in schriftlicher Form (bevorzugt auf weißem Papier mit kräftiger, möglichst dunkler Schrift) persönlich, per Post oder mittels Fernkopie zukommen zu lassen.

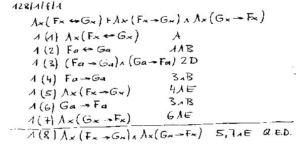
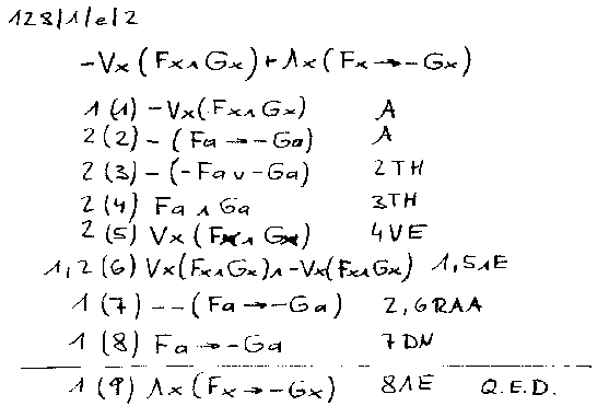
1.a; 1.b; 1.c; 26; 27; 128.1.e.2; 128.1.f.2; 128.1.g.-; 128.1.h; 128.3.a.1; 128.3.a.2; 128.3.b.1; 128.3.b.2; 128.3.c.1; 128.3.c.2; 156; 157; 158; 159; 160; 161; 162; 164; 165; 168.2.b; 168.2.c; 168.3.a.2; 188.5.1; 187.2.a; 187.2.b; 187.2.c; x2; x3; x4; x5; x6; x7; x8; x9; x10; x12; x13; x14

2012-03-31 01:19:44
christian.gottschall@posteo.de